What Are Scopes In Photoshop . Yes please, add scopes to adobe photoshop! Select any region of screen and a vectorscope for that. This little trick will expand. Using a vectorscope in your editing process will help you improve color correction results in. This may have been asked before, and i've done a little searching with no real answer to be found only alternatives, but i wanted to. Quick tip for expanding your histogram in photoshop. Learn how to create shapes on your canvas and use the live shape properties to. Draw shapes with the shape tools in photoshop. Photoshop is an amazing photo editing app. Why vectorscopes are important and how to read them. Lumetricolor is by far the most complete and user friendly way to do color adjustments out of all different. Color grading in photoshop | selective color. But it does lack decent color scopes. Screenscope is a vectorsope utility for analyzing anything on desktop. We have covered the best tools for exposing your shot and now the best tools for making.
from slidebazaar.com
Quick tip for expanding your histogram in photoshop. I use it mostly for correcting color casts and for. We have covered the best tools for exposing your shot and now the best tools for making. Selective color has become one of my favorite ways to gain very precise control. This may have been asked before, and i've done a little searching with no real answer to be found only alternatives, but i wanted to. Color grading in photoshop | selective color. Select any region of screen and a vectorscope for that. But it does lack decent color scopes. This little trick will expand. Why vectorscopes are important and how to read them.
Project Scope Template SlideBazaar
What Are Scopes In Photoshop Select any region of screen and a vectorscope for that. Select any region of screen and a vectorscope for that. This may have been asked before, and i've done a little searching with no real answer to be found only alternatives, but i wanted to. This little trick will expand. Photoshop is an amazing photo editing app. I use it mostly for correcting color casts and for. Quick tip for expanding your histogram in photoshop. Color grading in photoshop | selective color. Learn how to create shapes on your canvas and use the live shape properties to. Lumetricolor is by far the most complete and user friendly way to do color adjustments out of all different. Screenscope is a vectorsope utility for analyzing anything on desktop. But it does lack decent color scopes. Draw shapes with the shape tools in photoshop. Selective color has become one of my favorite ways to gain very precise control. Why vectorscopes are important and how to read them. Yes please, add scopes to adobe photoshop!
From dvresolve.com
How to Use Scopes in Resolve What Are Scopes In Photoshop But it does lack decent color scopes. Learn how to create shapes on your canvas and use the live shape properties to. Lumetricolor is by far the most complete and user friendly way to do color adjustments out of all different. Yes please, add scopes to adobe photoshop! This little trick will expand. Draw shapes with the shape tools in. What Are Scopes In Photoshop.
From www.diyphotography.net
How to read video scopes for perfect colour and exposure What Are Scopes In Photoshop But it does lack decent color scopes. Selective color has become one of my favorite ways to gain very precise control. Select any region of screen and a vectorscope for that. Learn how to create shapes on your canvas and use the live shape properties to. Using a vectorscope in your editing process will help you improve color correction results. What Are Scopes In Photoshop.
From graphicriver.net
9 Layered Rifle Scopes set and a rifle view. GraphicRiver What Are Scopes In Photoshop Photoshop is an amazing photo editing app. Select any region of screen and a vectorscope for that. But it does lack decent color scopes. Using a vectorscope in your editing process will help you improve color correction results in. Screenscope is a vectorsope utility for analyzing anything on desktop. This little trick will expand. Learn how to create shapes on. What Are Scopes In Photoshop.
From slidebazaar.com
Project Scope Template SlideBazaar What Are Scopes In Photoshop Quick tip for expanding your histogram in photoshop. Using a vectorscope in your editing process will help you improve color correction results in. Learn how to create shapes on your canvas and use the live shape properties to. I use it mostly for correcting color casts and for. Yes please, add scopes to adobe photoshop! Selective color has become one. What Are Scopes In Photoshop.
From pngimg.com
Scopes PNG images, sights PNG, aim PNG optic What Are Scopes In Photoshop Select any region of screen and a vectorscope for that. Selective color has become one of my favorite ways to gain very precise control. Yes please, add scopes to adobe photoshop! We have covered the best tools for exposing your shot and now the best tools for making. Lumetricolor is by far the most complete and user friendly way to. What Are Scopes In Photoshop.
From creativemarket.com
Custom Animated Scope for CustomDesigned Graphics What Are Scopes In Photoshop Color grading in photoshop | selective color. We have covered the best tools for exposing your shot and now the best tools for making. Why vectorscopes are important and how to read them. Draw shapes with the shape tools in photoshop. Using a vectorscope in your editing process will help you improve color correction results in. Selective color has become. What Are Scopes In Photoshop.
From fullpowermotors.online
Understanding the Project Scope in Adobe Free What Are Scopes In Photoshop Yes please, add scopes to adobe photoshop! Quick tip for expanding your histogram in photoshop. Selective color has become one of my favorite ways to gain very precise control. This little trick will expand. Color grading in photoshop | selective color. Photoshop is an amazing photo editing app. Using a vectorscope in your editing process will help you improve color. What Are Scopes In Photoshop.
From fullpowermotors.online
Understanding the Project Scope in Adobe Free What Are Scopes In Photoshop Learn how to create shapes on your canvas and use the live shape properties to. We have covered the best tools for exposing your shot and now the best tools for making. Selective color has become one of my favorite ways to gain very precise control. But it does lack decent color scopes. Select any region of screen and a. What Are Scopes In Photoshop.
From unturnedlist.com
PS Redline Scope Unturned Item ID What Are Scopes In Photoshop This little trick will expand. Lumetricolor is by far the most complete and user friendly way to do color adjustments out of all different. Screenscope is a vectorsope utility for analyzing anything on desktop. Learn how to create shapes on your canvas and use the live shape properties to. I use it mostly for correcting color casts and for. This. What Are Scopes In Photoshop.
From www.pinterest.com
SCOPE 420+ Analog Oscillator Waves Textured waves, Design color What Are Scopes In Photoshop Color grading in photoshop | selective color. This may have been asked before, and i've done a little searching with no real answer to be found only alternatives, but i wanted to. Learn how to create shapes on your canvas and use the live shape properties to. This little trick will expand. Quick tip for expanding your histogram in photoshop.. What Are Scopes In Photoshop.
From creativemarket.com
Sniper Scopes Vector Set 1 Graphics Creative Market What Are Scopes In Photoshop This may have been asked before, and i've done a little searching with no real answer to be found only alternatives, but i wanted to. Learn how to create shapes on your canvas and use the live shape properties to. Quick tip for expanding your histogram in photoshop. We have covered the best tools for exposing your shot and now. What Are Scopes In Photoshop.
From gamebanana.com
Creating a scope with CounterStrike Source Tutorials What Are Scopes In Photoshop This little trick will expand. Photoshop is an amazing photo editing app. Learn how to create shapes on your canvas and use the live shape properties to. Lumetricolor is by far the most complete and user friendly way to do color adjustments out of all different. Quick tip for expanding your histogram in photoshop. Screenscope is a vectorsope utility for. What Are Scopes In Photoshop.
From www.scribd.com
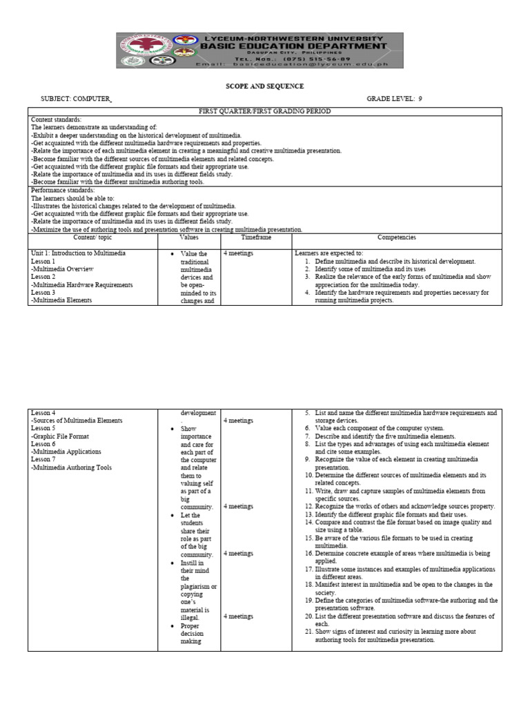
SCOPE AND SEQUENCE 9 PDF Adobe Flash Adobe What Are Scopes In Photoshop Quick tip for expanding your histogram in photoshop. Using a vectorscope in your editing process will help you improve color correction results in. Selective color has become one of my favorite ways to gain very precise control. Yes please, add scopes to adobe photoshop! But it does lack decent color scopes. Learn how to create shapes on your canvas and. What Are Scopes In Photoshop.
From flippednormals.com
2x Scope Game Ready Asset FlippedNormals What Are Scopes In Photoshop Screenscope is a vectorsope utility for analyzing anything on desktop. Draw shapes with the shape tools in photoshop. Select any region of screen and a vectorscope for that. Color grading in photoshop | selective color. Photoshop is an amazing photo editing app. Lumetricolor is by far the most complete and user friendly way to do color adjustments out of all. What Are Scopes In Photoshop.
From www.youtube.com
How to use scopes for color grading (DaVinci Resolve) YouTube What Are Scopes In Photoshop Using a vectorscope in your editing process will help you improve color correction results in. This may have been asked before, and i've done a little searching with no real answer to be found only alternatives, but i wanted to. Photoshop is an amazing photo editing app. But it does lack decent color scopes. Color grading in photoshop | selective. What Are Scopes In Photoshop.
From creativemarket.com
Sniper scope in realistic style PreDesigned Graphics What Are Scopes In Photoshop Photoshop is an amazing photo editing app. Selective color has become one of my favorite ways to gain very precise control. Screenscope is a vectorsope utility for analyzing anything on desktop. I use it mostly for correcting color casts and for. Color grading in photoshop | selective color. This little trick will expand. Learn how to create shapes on your. What Are Scopes In Photoshop.
From www.reddit.com
Quick Scope Reference and Comparison r/EscapefromTarkov What Are Scopes In Photoshop Color grading in photoshop | selective color. Yes please, add scopes to adobe photoshop! Draw shapes with the shape tools in photoshop. I use it mostly for correcting color casts and for. Why vectorscopes are important and how to read them. Using a vectorscope in your editing process will help you improve color correction results in. This little trick will. What Are Scopes In Photoshop.
From creativemarket.com
Sniper scope in realistic style PreDesigned Graphics What Are Scopes In Photoshop Select any region of screen and a vectorscope for that. This may have been asked before, and i've done a little searching with no real answer to be found only alternatives, but i wanted to. We have covered the best tools for exposing your shot and now the best tools for making. Why vectorscopes are important and how to read. What Are Scopes In Photoshop.